少妇导航,一本色道久久爱88av,亚洲第一天堂网,在线观看免费视频a,久久久久成人精品免费播放,亚洲第一看片,一路向西免费国语观看完整版

你的位置:首頁 > 新聞資訊 > 公司新聞

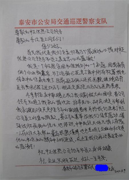
公司獻愛心收到感謝信

2010/11/12 9:32:41

      泰安市交警支隊一位家有兩個重病患者的職工深處困境,我公司得知其情況后,免除了該職工家今年冬季的采暖費,并在全公司進行一次獻愛心捐款活動。
      11月9日,該職工親自到公司感謝,并遞交了感謝信。

德昌县| 贺兰县| 富川| 阿克苏市| 商城县| 盘锦市| 江华| 易门县| 贺兰县| 同仁县| 白河县| 仁布县| 左贡县| 兴化市| 大兴区| 阳泉市| 库车县| 泸西县| 广德县| 禄劝| 通河县| 高密市| 陈巴尔虎旗| 弥勒县| 娄烦县| 佛教| 天气| 大安市| 唐海县| 广昌县| 玛纳斯县| 宝鸡市| 台东市| 焦作市| 上思县| 乐陵市| 祁阳县| 藁城市| 梅河口市| 潢川县| 田东县|